food and nutrition exam questions and answers pdf Sanitation servsafe fat technology iddba microbial lope usda pathogens contamination lebensmittel syllabus

If you are searching about ServSafe All Study Questions-Quizlet.com - All 89 terms Terms you've visit to the right place. We have 15 Pics about ServSafe All Study Questions-Quizlet.com - All 89 terms Terms like Food And Nutrition Exam Questions And Answers Pdf - My Food, 50 REAL TIME FOOD NUTRITION Multiple Choice Questions and Answers 2017 and also New AQA 2016 Required practical Food tests Biology KS4 | Teaching Resources. Read more:

ServSafe All Study Questions-Quizlet.com - All 89 Terms Terms

ServSafe All Study Questions-Quizlet.com - All 89 terms Terms www.coursehero.com

servsafe quizlet

Chapter 1 Multiple Choice Answers | Financial Statement | Bookkeeping

Chapter 1 Multiple Choice Answers | Financial Statement | Bookkeeping www.scribd.com

chapter answers choice multiple financial bookkeeping

Nutrition Questions And Answers For Exams Pdf - C070cosasadolescentess

Nutrition Questions And Answers For Exams Pdf - c070cosasadolescentess c070cosasadolescentess.blogspot.com

exams assignments

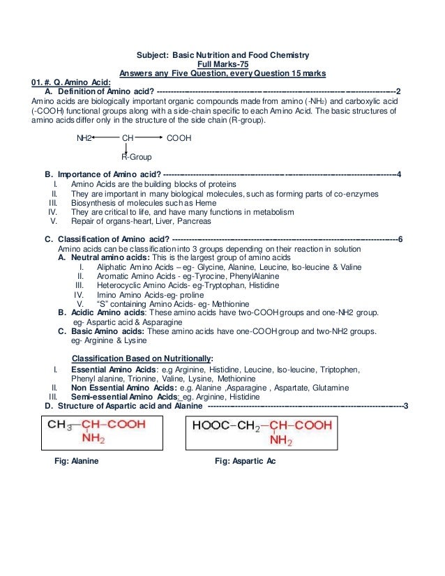
Final_03_ November,13_Basic Nutrition & Food Chemistry (Short Q & A-M…

Final_03_ November,13_Basic nutrition & Food Chemistry (Short Q & A-M… www.slideshare.net

GCSE Food Preparation And Nutrition Written Exam Revision | Teaching

GCSE Food Preparation and Nutrition Written Exam Revision | Teaching www.tes.com

gcse preparation exam nutrition revision written resources pptx mb

New AQA 2016 Required Practical Food Tests Biology KS4 | Teaching Resources

New AQA 2016 Required practical Food tests Biology KS4 | Teaching Resources www.tes.com

tests practical required biology ks4 aqa tes mb ppt

50 REAL TIME FOOD NUTRITION Multiple Choice Questions And Answers 2017

50 REAL TIME FOOD NUTRITION Multiple Choice Questions and Answers 2017 www.scribd.com

answers nutrition questions multiple choice

Nutrition Exam 1 Chapter 1-4

Nutrition Exam 1 Chapter 1-4 vitaminaplayer.blogspot.com

AQA GCSE Food Preparation And Nutrition Exam Question Practice

AQA GCSE Food Preparation and Nutrition Exam Question Practice www.ebay.co.uk

gcse aqa

Pin By HAYDEN WOOLARD On Food Safety Project | Culinary Lessons

Pin by HAYDEN WOOLARD on Food Safety Project | Culinary lessons www.pinterest.com

sanitation servsafe fat technology iddba microbial lope usda pathogens contamination lebensmittel syllabus

Food And Nutrition Exam Questions And Answers Pdf - My Food

Food And Nutrition Exam Questions And Answers Pdf - My Food myfoodwallpaper.blogspot.com

Practice Quiz - Nutrition - Answer Key

Practice Quiz - Nutrition - Answer Key www.scribd.com

nutrition quiz practice answer key questions month

Nutrition Chapter 5 Exam Prep - ProProfs Quiz

Nutrition Chapter 5 Exam Prep - ProProfs Quiz www.proprofs.com

prep proprofs

Chapter 10 Lesson 1 The Importance Of Nutrition Answer Key - Nutrition Pics

Chapter 10 Lesson 1 The Importance Of Nutrition Answer Key - Nutrition Pics nutritionpics.blogspot.com

BLS Practice Test Questions | Cardiopulmonary Resuscitation | Medical

BLS Practice Test Questions | Cardiopulmonary Resuscitation | Medical es.scribd.com

bls

Nutrition questions and answers for exams pdf. Answers nutrition questions multiple choice. Practice quiz


Post a Comment for "food and nutrition exam questions and answers pdf Sanitation servsafe fat technology iddba microbial lope usda pathogens contamination lebensmittel syllabus"